线性回归的损失和优化
假设刚才的房子例子,真实的数据之间存在这样的关系
真实关系:真实房子价格 = 0.02×中心区域的距离 + 0.04×城市一氧化氮浓度 + (-0.12×自住房平均房价) + 0.254×城镇犯罪率真实关系:真实房子价格 = 0.02×中心区域的距离 + 0.04×城市一氧化氮浓度 + (-0.12×自住房平均房价) + 0.254×城镇犯罪率那么现在呢,我们随意指定一个关系(猜测)
随机指定关系:预测房子价格 = 0.25×中心区域的距离 + 0.14×城市一氧化氮浓度 + 0.42×自住房平均房价 + 0.34×城镇犯罪率随机指定关系:预测房子价格 = 0.25×中心区域的距离 + 0.14×城市一氧化氮浓度 + 0.42×自住房平均房价 + 0.34×城镇犯罪率请问这样的话,会发生什么?真实结果与我们预测的结果之间是不是存在一定的误差呢?类似这样样子
 (1) (1).19dca07d.png)
既然存在这个误差,那我们就将这个误差给衡量出来
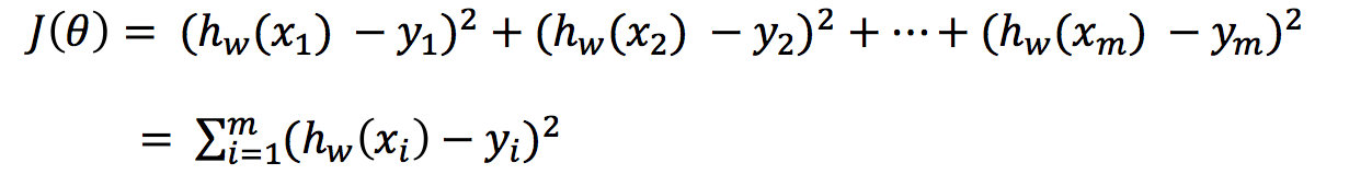
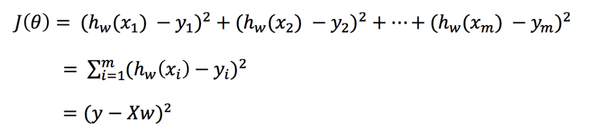
1 损失函数
总损失定义为:
 (1) (1).576d4cba.png)
- yi为第i个训练样本的真实值
- h(xi)为第i个训练样本特征值组合预测函数
- 又称最小二乘法
如何去减少这个损失,使我们预测的更加准确些?既然存在了这个损失,我们一直说机器学习有自动学习的功能,在线性回归这里更是能够体现。这里可以通过一些优化方法去优化(其实是数学当中的求导功能)回归的总损失!!!
2 优化算法
如何去求模型当中的W,使得损失最小?(目的是找到最小损失对应的W值)
线性回归经常使用的两种优化算法
2.1 正规方程
2.1.1 什么是正规方程
 (1) (1).9b5a5793.png)
理解:X为特征值矩阵,y为目标值矩阵。直接求到最好的结果
缺点:当特征过多过复杂时,求解速度太慢并且得不到结果
 (1) (1).155c7f90.png)
2.1.2 正规方程求解举例
以下表示数据为例:
 (1) (1).c71b8497.png)
即:
 (1) (1).68dacb90.png)
运用正规方程方法求解参数:
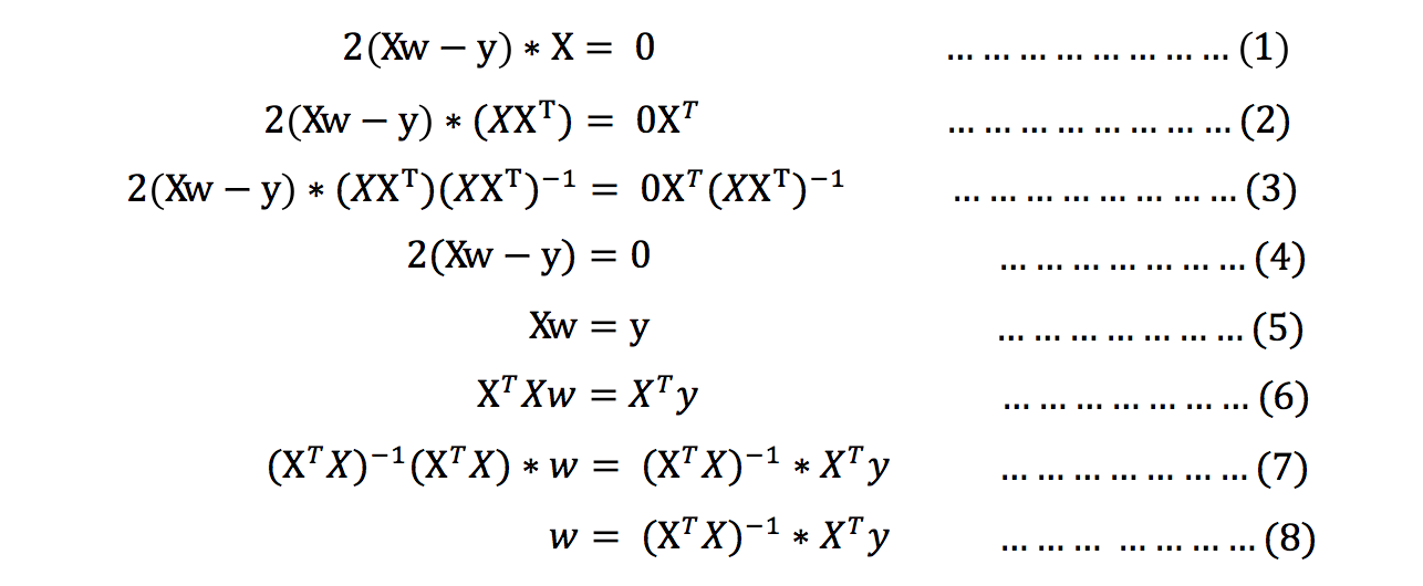
2.1.3 正规方程的推导
- 推导方式一:
把该损失函数转换成矩阵写法:
 (1) (1).3881395d.png)
其中y是真实值矩阵,X是特征值矩阵,w是权重矩阵
对其求解关于w的最小值,起止y,X 均已知二次函数直接求导,导数为零的位置,即为最小值。
求导:
 (1) (1).f7185aac.png)
注:式(1)到式(2)推导过程中, X是一个m行n列的矩阵,并不能保证其有逆矩阵,但是右乘XT把其变成一个方阵,保证其有逆矩阵。
式(5)到式(6)推导过程中,和上类似。
- 推导方式二【拓展】:
https://www.jianshu.com/p/2b6633bd4d47
2.2 梯度下降(Gradient Descent)
2.2.1 什么是梯度下降
梯度下降法的基本思想可以类比为一个下山的过程。
假设这样一个场景:一个人被困在山上,需要从山上下来(i.e. 找到山的最低点,也就是山谷)。但此时山上的浓雾很大,导致可视度很低。因此,下山的路径就无法确定,他必须利用自己周围的信息去找到下山的路径。这个时候,他就可以利用梯度下降算法来帮助自己下山。具体来说就是,以他当前的所处的位置为基准,寻找这个位置最陡峭的地方,然后朝着山的高度下降的地方走,(同理,如果我们的目标是上山,也就是爬到山顶,那么此时应该是朝着最陡峭的方向往上走)。然后每走一段距离,都反复采用同一个方法,最后就能成功的抵达山谷。
 (1) (1).b524dc8b.png)
梯度下降的基本过程就和下山的场景很类似。
首先,我们有一个可微分的函数。这个函数就代表着一座山。
我们的目标就是找到这个函数的最小值,也就是山底。
根据之前的场景假设,最快的下山的方式就是找到当前位置最陡峭的方向,然后沿着此方向向下走,对应到函数中,就是找到给定点的梯度 ,然后朝着梯度相反的方向,就能让函数值下降的最快!因为梯度的方向就是函数之变化最快的方向。 所以,我们重复利用这个方法,反复求取梯度,最后就能到达局部的最小值,这就类似于我们下山的过程。而求取梯度就确定了最陡峭的方向,也就是场景中测量方向的手段。
2.2.2 梯度的概念
梯度是微积分中一个很重要的概念
在单变量的函数中,梯度其实就是函数的微分,代表着函数在某个给定点的切线的斜率
在多变量函数中,梯度是一个向量,向量有方向,梯度的方向就指出了函数在给定点的上升最快的方向
这也就说明了为什么我们需要千方百计的求取梯度!我们需要到达山底,就需要在每一步观测到此时最陡峭的地方,梯度就恰巧告诉了我们这个方向。梯度的方向是函数在给定点上升最快的方向,那么梯度的反方向就是函数在给定点下降最快的方向,这正是我们所需要的。所以我们只要沿着梯度的反方向一直走,就能走到局部的最低点!
2.2.3 梯度下降举例
- 1. 单变量函数的梯度下降**
我们假设有一个单变量的函数 :J(θ) = θ^2
函数的微分:J'(θ) = 2θ
初始化,起点为: θ^0 = 1
学习率:α = 0.4
我们开始进行梯度下降的迭代计算过程:
 (1) (1).16e0217f.png)
如图,经过四次的运算,也就是走了四步,基本就抵达了函数的最低点,也就是山底
 (1) (1).7cef5a70.png)
- 2.多变量函数的梯度下降
我们假设有一个目标函数 : $$J(\theta)=\theta_{1}^{2}+\theta_{2}^{2}$$
现在要通过梯度下降法计算这个函数的最小值。我们通过观察就能发现最小值其实就是 (0,0)点。但是接下 来,我们会从梯度下降算法开始一步步计算到这个最小值! 我们假设初始的起点为: $$\theta_0=(1,3)$$
初始的学习率为:α = 0.1
函数的梯度为: $$\Delta J(\theta)=<2\theta_1,2\theta_2>$$
进行多次迭代:
 (1) (1).3bb4a236.png)
我们发现,已经基本靠近函数的最小值点
 (1) (1).c6a39cae.png)
2.2.4 梯度下降(Gradient Descent)公式
1) α是什么含义?
α在梯度下降算法中被称作为学习率或者步长,意味着我们可以通过α来控制每一步走的距离,以保证不要步子跨的太大扯着蛋,哈哈,其实就是不要走太快,错过了最低点。同时也要保证不要走的太慢,导致太阳下山了,还没有走到山下。所以α的选择在梯度下降法中往往是很重要的!α不能太大也不能太小,太小的话,可能导致迟迟走不到最低点,太大的话,会导致错过最低点!
 (1) (1).7bfaebfa.png)
- 2) 为什么梯度要乘以一个负号?
梯度前加一个负号,就意味着朝着梯度相反的方向前进!我们在前文提到,梯度的方向实际就是函数在此点上升最快的方向!而我们需要朝着下降最快的方向走,自然就是负的梯度的方向,所以此处需要加上负号
我们通过两个图更好理解梯度下降的过程
 (1) (1).cd25d602.png)
 (1) (1).7992dae3.png)
所以有了梯度下降这样一个优化算法,回归就有了"自动学习"的能力
- 优化动态图演示

- 梯度下降和正规方程的对比
| 梯度下降 | 正规方程 |
|---|---|
| 需要选择学习率 | 不需要 |
| 需要迭代求解 | 一次运算得出 |
| 特征数量较大可以使用 | 需要计算方程,时间复杂度高O(n3) |
- 选择:
- 小规模数据:
- LinearRegression(不能解决拟合问题)
- 岭回归
- 大规模数据:SGDRegressor
- 小规模数据: